狗是人類最好的朋友,但這種友誼並不總是能得到狗的回應。
有些狗狗因爲對玩具有着近乎成癮的癡迷。它們寧願玩撿球遊戲,也不願喫飯或與其他寵物玩。即使筋疲力盡或受傷,它們也會繼續擺弄自己心愛的玩具。
![]()
瑞士伯爾尼大學的研究人員現在將一些狗狗的“過度玩玩具行爲”與人類賭博或沉迷網絡遊戲進行了比較。
與人類不同,可用於研究行爲成癮的動物模型非常少。在人類中,行爲成癮有時被定義爲儘管會對自身或他人造成長期傷害,卻仍然反覆無法抵制某種能帶來獎勵的行爲。
狗是除人類之外唯一被認爲會自發表現出類似成癮行爲的物種,雖然這並不意味着它們正式表現出成癮行爲,但研究團隊想要探索其中的相似之處。
![]()
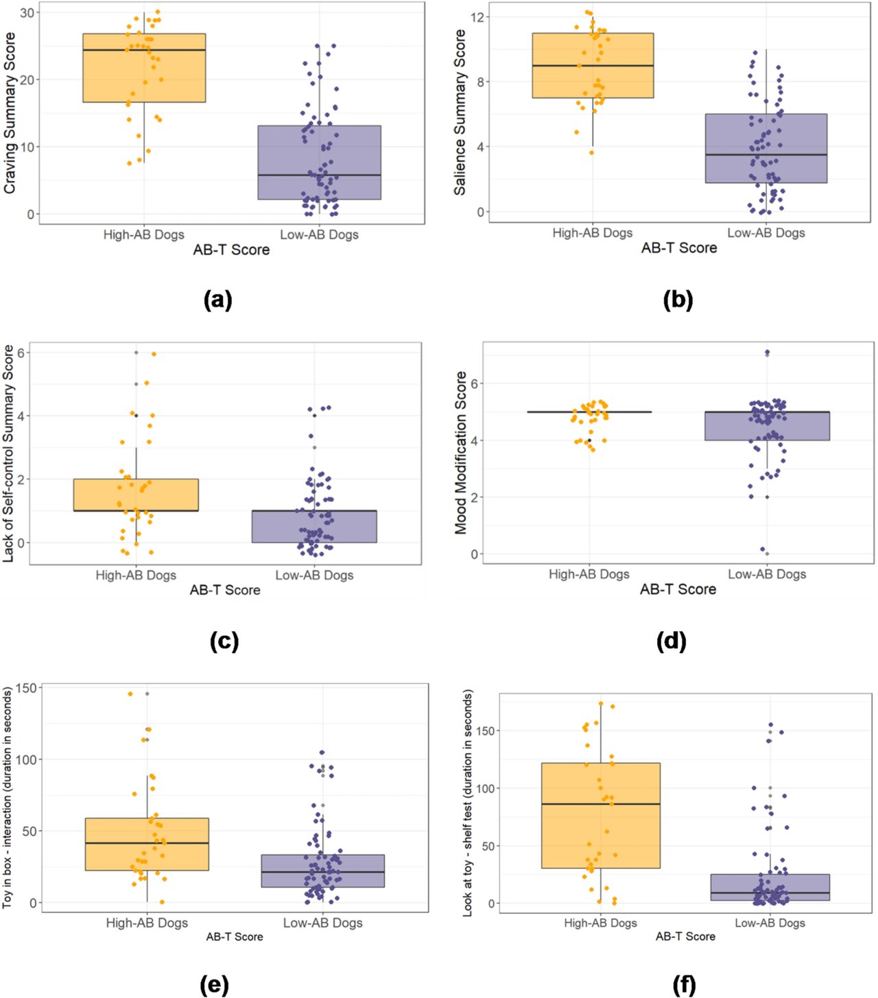
爲了開展這項研究,團隊對56只雄性犬和49只雌性犬的主人進行了調查。其中33只犬對它們的玩具表現出類似成癮的行爲。
這些狗狗對它們的玩具表現出強烈的執念,彷彿對玩具有着“渴求”。它們對其他玩具也缺乏興趣,即使玩具被放在夠不着的地方,它們也會堅持不懈地想要拿到自己最喜歡的玩具。
這表明它們缺乏自制力,它們寧願玩玩具,也不願與主人互動。
在調查問卷中,家有玩具成癮犬的受訪者表示,他們的寵物需要越來越多的玩耍才能感到滿足。許多人也認同“如果我不糾正這種傾向,我的狗就會變成一個球癡”的說法。
據它們的主人說,大多數沉迷玩具的寵物即使會在玩耍中受傷,也會繼續玩耍。
![]()
行爲成癮標準和玩具導向行爲:(a-g)展示了高 AB 和低 AB 犬在各種指標上的差異。 (a) 渴求總分 (b) 顯著性總分 (c) 缺乏自控力總分 (d) 情緒調節總分 (e) 玩具在盒內時的互動,總互動時間(秒) (f) 玩具在架子上,注視玩具的持續時間(秒)。
這表明,即使在行爲測試中無法證明這一點,有些狗也可能符合繼續表現出類似成癮行爲的標準,儘管會受傷。
就像網絡遊戲能給人類帶來快樂一樣,玩玩具也能給狗狗帶來快樂。但當玩耍過度時,問題就會出現,而且似乎有些狗狗容易對它們喜愛的玩具有強迫症。
Mazzini, A., Senn, K., Monteleone, F. et al. Addictive-like behavioural traits in pet dogs with extreme motivation for toy play. Sci Rep 15, 32613 (2025). https://doi.org/10.1038/s41598-025-18636-0
更多遊戲資訊請關註:電玩幫遊戲資訊專區
電玩幫圖文攻略 www.vgover.com

