(其实我也在上一篇解释阿列夫一的帖子里埋了伏笔,大家通过上一篇的帖子里了解黑洞的基本概念,并且知道了阿列夫一是个怎样的存在后就可以看这篇帖子了)
各位福尔摩漂们提出了很多丰富的猜想,不过大部分是唯心论
而在今天,我用现有数学计算方法以及科学理论,以纯逻辑推导的方式告诉各位,爱弥斯是可以救的,并且不需要讲唯心,怎么救的?我也跟大家一一详细解读,我们现有科学理论就可以实现这个事情,各位阿漂别急,让我们来看看这个救援计划
语言我尽量采取口语的方式,保证各位听懂
什么?你没看过上一篇帖子?那得赶快补习!
![]()
第一部分
我们先明确一下爱弥斯目前处于什么情况
处于“黑洞”(阿列夫一)里,陷入了莫比乌斯环
![]()
不断重复这个与漂泊者的时间过程,没有肉体
![]()
现实世界中存在一个日灵拼出来的带有一丝频率的身体
![]()
在明确了这些情况后,我就带领各位一步步打开这些枷锁
第二部分
首先,最大的前提是爱弥斯被阿列夫一给吸了,处于黑洞,第一个重要的就是她得先出来,在上一篇帖子里,大家也都知道了,黑洞连光也逃不出去,我们无法通过正常手段把爱弥斯救出来。
于是我们首先要转换思路,把关注点从爱弥斯转到阿列夫一身上,去探讨阿列夫一自己把爱弥斯放出来的可能性。
![]()
当然,这里不是指阿列夫一 本“人”的情绪主观放出来,而是指被动放出来,关于“被动”放出来后文再探讨,我们先去讨论,放出来处于什么情况
![]()
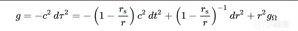
“黑洞”诞生于史瓦西从爱因斯坦广义相对论方程里面算出来的一个解(数学角度)
![]()
广义相对论方程
各位先别眼花,我们关注这个公式里面的t的平方
![]()
学过数学的我们都知道平方数是可以取正负的
t的平方可以是t的平方得出来,也可以是-t的平方得出来
但是t是不可能为负数的,正常人都知道时间(time)不能反着走,因此这个负号我们得往前提,从时间转到空间上去。
空间上的负值,那么就是性质与黑洞完全相反的东西了,这也就是各位所知道的白洞!
再结合前面我所提到的黑洞无所不吸,相反的白洞就是无所不喷,因此我们就知道了,爱弥斯可以通过白洞这种途径出来
了解了白洞这个概念后,我们就来看一看黑洞和白洞的关系
虽然白洞在数学上可以算出来,但目前我们还没有观测到宇宙中的任何一个地方存在白洞,换句话说,它只是数学上的一个符号,不存在于物理
于是科学家就提出了好多种理论,其中有一种就是爱因斯坦-罗森桥
![]()
爱因斯坦-罗森桥
(这就是我自己在上一篇作文里埋的伏笔hhh)
有些同学可能就会问 理论这么多,为什么我要选择这种?
因为游戏里已经展示了呀
![]()
(这就是爱因斯坦-罗森桥)
简略描述就是黑洞是入口,白洞是出口,吸进去的物质会从另一口喷出来,而且黑洞白洞是同一种东西
各位再结合我上一篇帖子说的霍金辐射理论
![]()
黑洞虽然吸,但它也被正虚粒子对夺走质量,在喷。
![]()
各位就可以理解这个概念了。后面我们都以黑洞白洞是同一种东西的情况为前提进行讨论
可能有没补习的新同学会问,为什么我又要选择霍金辐射理论?
还是因为游戏已经展示了呀
![]()
(爱弥斯是没有肉体的虚粒子,漂泊者是有肉体的正粒子)
现在各位同学就知道了,爱弥斯可以通过白洞救出来
现在就是怎么出的问题了
有科学家给出了黑洞白洞关系的平面坐标轴表示方式
![]()
克鲁斯卡尔坐标系
他是解释到中间的紫线是平行宇宙。黑洞,白洞是同一种东西,但是它们分成两个部分,各在一个平行宇宙,因为平行宇宙性质不同,所以黑洞白洞就会产生不同,这就是原因。
(当然,这是一种相当异想天开的理论假说,没有办法证明的)
因此,爱弥斯只能从平行宇宙逃出来
各位同学可能会说哪来的平行世界的爱弥斯?
第三部分
这就得提到爱弥斯的第二层锁了——莫比乌斯环
这些困难都是安排好的,他们之间重重绑定在一起
![]()
![]()
各位都知道了,爱弥斯处于一个不断轮回的过程,她们之间相遇也是上一个爱弥斯安排好的,不只是一个简单的先有鸡还是先有蛋的问题。
这就来自于量子力学的平行宇宙映射概念,有无数个爱弥斯在重复这段轮回,所以构成了这段故事。
所以说爱弥斯从平行宇宙救出来,当然是可以的。
解决了黑洞,但是莫比乌斯环依然是一个困难
想要救出来,也得让她不适于这个不断重复与漂泊者故事的轮回
好多人在想如何斩断这个轮回,但我依然还是那句话,转换思维。
我们先明确决定这段轮回最重要的就是时间,时间是我们人创造的,它并非自然规律,是我们人的主观体感。
![]()
因此,我们可以改变它的单位时间的定义,比如说我可以创造一个新单位,让它等于1万个一秒,就像各位以前做过的新定义数学题
因此在这里,我先创造一个新单位,现在先让它叫做“理”吧,我让它的一个单位时间等于 爱弥斯遇到漂泊者再到爱弥斯离开漂泊者这整段故事。
也就是说,每发生一个“理”就会有一个爱弥斯的故事发生循环。
请各位好好想一想,时间是让我们知道时间流逝的,让我们知道物体变化的。
可是我这个单位时间很奇特,这个单位时间“理”,它刚好是这个故事的概括,第一个“理”还是第二个“理”还是第三个“理”?无限推下去,它的故事永远不会改变,永远都是爱弥斯循环的这段故事。
那么我请问这时间还有意义吗?时间是让我们知道物体变化的,在流逝的。
可是这个故事是循环的,它并不会改变,从整体上来看,它也并不会流逝,那么我这个单位还有意义吗?或者说万事万物都不会再发生改变了,宇宙处于了静止状态,那么时间还有什么意义呢?它已经失去了它的任务——记录物体变化。
那么,这段莫比乌斯环也就失去了意义,也就是说,这段莫比乌斯环,它既可以存在,它也可以无效(类似于量子的叠加思想,两种都是),取决于我们自己,它从来不是一个困难。
各位,是不是很震惊?一个无限的循环,竟然会被我创造的一个新单位给推翻,可能有的同学会说我创造的这个单位没有用,并不是以分秒来计算。
但我在前文已经说过了,时间是人创造的,它并不是自然规律,它是我们的主观体感,谁都可以创造一个自己用的时间,只是说分秒大家更接受而已
这也就是数学最基本的 换元思想 的引申,现代科学理论也有一个类似的叫“宇宙的各向同性”,就是关于参考系的转换,这里我就不展开讨论了,有兴趣的同学可以自己课后预习。
现在好了,原来的莫比乌斯环大厦被我摧毁了
通过这段论述,我们就知道了,我们可以无视原来的莫比乌斯环,那么,如何去创造救出爱弥斯后面(救出)发生的未来呢?
其实这段答案已经藏于小学数学课本了。
各位都知道,莫比乌斯环会循环,可是各位是否还记得莫比乌斯环从中间剪开会发生什么吗?
![]()
前面已经提了莫比乌斯环是无效的,那么我们可以重新让它有效,但不一样的是,接着转换参考系!!!
我们再创造一个新的单位——“爱”,我令这个单位等于爱弥斯的一生,基于用前面所论述的我们创造了一个更大的莫比乌斯环!是一个爱弥斯从小到死的循环,但是各位想一想,这个莫比乌斯环有什么区别吗?它根本就相当于没存在呀,爱弥斯已经拥有了完整的一生,就像我们所说的——生死轮回!!!
因此这段莫比乌斯环的困难也被我们迎刃而解了!!!
第四部分
现在只剩下最后一个困难了,如何让爱弥斯安全出来?确保还是“爱弥斯”?
![]()
这一点其实根本就不需要去强迫阿列夫一,量子力学中有一个类似于质量守恒的理论,叫做信息守恒!
举个例子,我化成灰了,但是我的信息依然存在在灰里,上帝可以根据我的灰复原出我。
因此,被黑洞吸进去的东西,他们的信息并不会消失,可是各位好好想一想,吸进去的信息已经没了,信息守恒,怎么信息还能凭空消失呢?
这时候就轮到白洞了,白洞会喷出这些信息,只是会变得很混乱而已。但是,我们只需要在白洞那里提前准备好大致模块,就可以通过这些碎片重新复原出物体。
我们现代的科学家都早就算出了黑洞信息量的计算公式
![]()
更别说索拉里斯
各位再想一想,模块是什么?
就是日灵拼好的爱弥斯的身体啊!
![]()
而且爱弥斯本身就是电子幽灵!!!
信息到不能再信息了!!!
这些都是库洛早就安排好的困难!
灵魂回来了,再加上日灵准备的身体。
“欢迎回家!”
![]()
PS:评论区也有一位大佬和我探讨了关于因果的定义,做了思考后,我附加了这个段落
首先,莫比乌斯环从小环变成大环,这一段不能以因果思想来理解
那位大佬认为,我将草莓蛋糕替换掉草莓,草莓依然存在,并没有解决问题。
但我想的是有了草莓,所以不能有蛋糕,有了蛋糕,所以不能有草莓,有了草莓,所以不能有蛋糕,无限循环下去,我这本身的替换,它自己也是一个循环
大概意思就是我用一个替换循环加上原本的故事循环,变成了一个新的一生循环。 我的这种行为是不能去追究因果的,因为莫比乌斯环的循环性,我们无法判断它到底是在哪一刻完成了取代,我只能把它理解为一个新的环——取代本身就是环,而不是环取代环
更多游戏资讯请关注:电玩帮游戏资讯专区
电玩帮图文攻略 www.vgover.com
