Hello,你关注的养生博主又来给你讲科学知识啦。我知道大家在看到这个标题时,有的人肯定会在某一刻跟我一样深有同感,也有的人会问:你凭什么说世界是虚拟的?其实,这个世界的精妙程度,远远超乎你的想象。
曼德勃罗集
“分形几何之父”曼德勃罗于1924年出生于波兰,为躲避战乱他来到了法国,在那里学习数学。虽然战乱导致他从小学习干扰重重,但他在素描方面却很有天赋,而且他还对图像非常敏感,能够将代数问题转化为直观几何问题。战乱结束后,在冯·诺依曼的邀请下他起身前往美国,在那里研究过经济学、流体力学,还在IBM公司担任过研究员。
![]()
伯努瓦·曼德勃罗(Benoit Mandelbrot)
他在检视棉花价格数据时,发现每日价格变动的曲线和月度价格变动的曲线居然高度相似。 他在研究IBM电脑间传递信息中的噪音问题时,发现无论在一小时还是在一秒钟内,出现噪音的比例是相同的。 而他在研究英国海岸线长度时,也发现了无论如何放大海岸线,那种蜿蜒曲折的程度,都高度相似。为解释这些现象,曼德勃罗进行了长时间的深入研究。
而最终曼德勃罗集的发现,是在1975年夏天的一个夜晚,当时曼德勃罗正在为研究发愁,无意间翻看了儿子的拉丁文字典时想到的,其拉丁文的原意是“产生无规则的碎片”。曼德勃罗称此为“魔鬼的聚合物”。
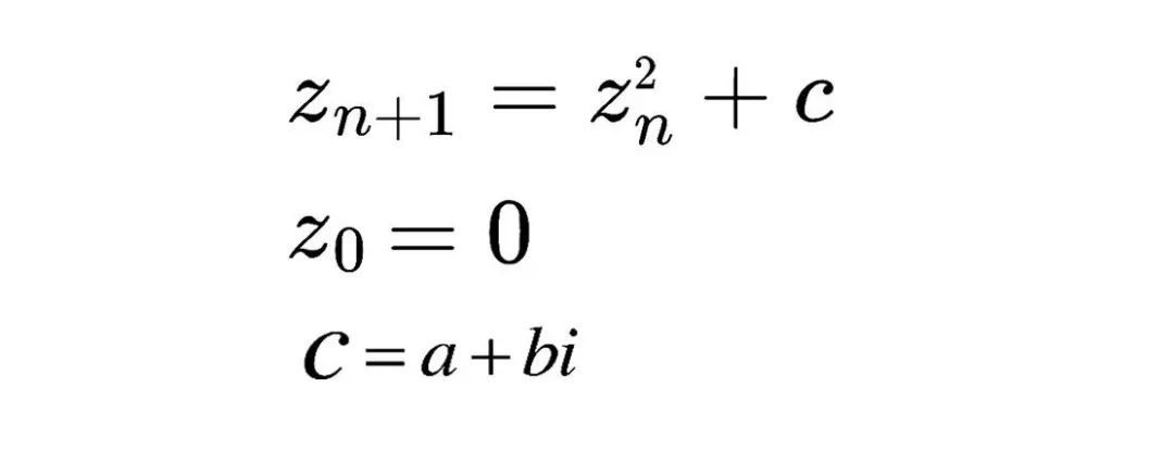
说来说去,那么曼德勃罗集到底是什么呢?从概念上来说,这是一种在复平面上组成分形的点的集合,无论将其如何放大,其内都有非常精妙的细节。它是一个可迭代的多项式:
其中c为复数,是复平面上的一点, 任取一个c,就可以得到一系列的Z值。
![]()
只要计算的点足够多,以图案的方式呈现出来,不管把图案无限放大多少倍,都能显示出更加复杂的局部,这些局部既与整体不同,又有某种相似的地方。于是,我们就得到了这样一张图:

曼德勃罗集概念图
曼德勃罗集的出现,惊艳了整个数学界,这种将一个粗糙或零碎的几何物体被无限放大后,会出现无穷的自相似性,这就是数学上的“分形”。后来人们通过运用各种不同的渲染方法,得到非常多极具艺术效果的图案,而这些瑰丽的图案仅仅由这个简单的公式就可以生成。
![]()


许多人认为曼德勃罗集是“人类有史以来做出的最奇异、最瑰丽的几何图形”,甚至将其称为“上帝的指纹”。看到这里,你是不是有种似曾相似的感觉?没错,因其神似佛陀,又被称为“曼德勃罗大佛”。

一花一世界,一叶一菩提。
你会说,这些虚无缥缈的公式概念再神奇和我们的世界又有什么关系?平常不就用到点加减乘除嘛?那你可就太小看数学了。数学是整个宇宙的通用语言,可以说宇宙中的一切事物,小到原子,大到星系,都可以用数学规则来描述。那这个所谓的“分形”又具体表现在何处呢?
欸,问得好。你一定见过以下这些画面:

雪花

花椰菜
![]()
蕨类植物
![]()
树木

神经元

宇宙纤维结构
是的,“分形”在我们的世界里随处可见。
从 1+1=2 到 e^(iπ)+1=0 ,数学,就像一串串底层代码,用它最精妙的语言向我们描述着这个精彩绝伦的世界。

等会儿,你先别睡,数学说完了咱还有物理呢。这么说也不对,毕竟物理也和数学密不可分。
我们从小就学到过牛顿被苹果砸到然后发现了万有引力的故事,当然这个故事真实与否这里就不作过多讨论哈,牛顿用 F=G(m₁m₂)/r² 这一简洁公式描述了万有引力。而麦克斯韦的四个方程组解释了电磁波、光、无线电波等看似迥异的现象。就连量子世界,也能用薛定谔的波动方程进行概率预测......

1927年索尔维会议物理学家们合影
你今天所以学的公式,有可能是古往今来的那些大佬们通过纯粹的逻辑思考推导出的,比如著名的黎曼几何、矩阵理论等,数十年甚至数百年后,物理学家们才从现实中验证了这些理论。说到这个,不得不讲一讲发现黑洞的故事了。要从头说起,我们得把时间拨回到18世纪的英国。
发现黑洞的过程

约翰·米歇尔(John Michell)
1783年,科学家约翰·米歇尔提出了一个测量恒星质量的方法。米歇尔基于牛顿的微粒说,即认为光是由粒子构成的,因此米歇尔推断当恒星辐射光时,恒星的引力会减缓光的速度,并在星光中产生可观测的变化。他认为当光穿过棱镜时,能量的降低会使偏折有所不同,就可以测量速度被减慢了多少。因此他可以比较不同恒星的折射图像来测量它们的表面引力,并从中计算出它们各自的质量。

牛顿“微粒说”概念图
米歇尔认为,如果一颗恒星的质量足够大,那么它的引力也足够强,其逃逸速度就可以等同于光速。如果连光都无法逃出恒星自身的引力,那么这些恒星对于天文学家而言就是不可探测的,宇宙中应该有许多这种无法辐射出光的隐形天体(暗星)。我们可以通过间接的方法来探测这些暗星,前提是这些暗星需要有围绕它们的发光体。但米歇尔的理论中犯错的地方在于光速:1905年,爱因斯坦证明了无论局域的引力强度如何,光的速度都保持不变。
到了1799年,杨氏双缝实验展示了光的波动性质,使牛顿的微粒说遭到重创。由于米歇尔的“暗星”是基于微粒说的,因此该想法也就被抛弃了。直到20世纪,随着物理学的重大变革,米歇尔的想法才再次被提了出来。
1915年,爱因斯坦提出的广义相对论彻底地颠覆了牛顿的引力理论,他将引力、弯曲的时空、物质和能量联系在了一起,也为米歇尔所预言的“暗星”奠定了理论基础。

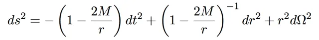
广义相对论的核心方程——爱因斯坦场方程
1916年,卡尔·史瓦西就找到了爱因斯坦场方程的第一个解:

史瓦西度规,假定G=c=1,其中r代表半径,M代表质量
当 r=2M(史瓦西半径)或 r=0 时,史瓦西解出现了奇异性。虽然当 r=2M的奇异性可以通过坐标变换予以消除,但是当半径为零时,这些奇异性标记着时空中真正的物理奇点。史瓦西在理论上预言了黑洞存在的可能性。
1930年,钱德拉塞卡计算出,如果一颗恒星的质量小于1.4倍太阳质量,那么该恒星在演化末期就会形成白矮星。1939年,奥本海默和他的学生在论文中指出,比这质量更大的恒星会不可避免的继续坍缩,形成黑洞。

太阳、中子星与黑洞
1958年,物理学家大卫·芬克勒斯坦因发现,在史瓦西解中,史瓦西半径处的奇异性是一个事件视界,这是一个有去无回的单向膜,一旦越过就再也无法以低于光的速度回来,并将不可避免的落入奇点。

事件视界、史瓦西半径与奇点
1963年,一位叫罗伊·克尔的新西兰人找到了找到了一个用于描述黑洞的更广义的史瓦西度规。它描述了坍缩恒星的最终态:它们总是具有非零的角动量。 两年之后,伊斯拉·纽曼又加上了带电荷的情况,找到了黑洞另一个解。

克尔解
1965年,罗杰·彭罗斯证明了时空奇点。之后,霍金和彭罗斯合作,共同提出了“奇点定理”,证明了在遥远的过去,宇宙必定始于一个无限小的奇点,这跟当时的观测符合。但是在奇点上,所有已知的物理定律都将崩塌。
1967年,天文学家发现了脉冲星,并很快确认它是快速旋转的中子星。这使天文学家备受鼓舞,希望能够找到更多支持黑洞存在的证据。同年底,理论物理学家约翰·惠勒在他的演讲中提到“黑洞”一词,让它进入了大众视野中。

双中子星合并
在了解这些理论后,你是否也感叹于科学家们那聪慧的头脑,什么,你说根本看不懂?那就对了,对于这些一个又一个的理论,其实当时的这些大佬们也无法证实黑洞到底是否真实存在,因为一切都只是理论推测。那么如何验证黑洞是否存在呢?欸,还记得前文提到的米歇尔的理论吗?没错,我们可以利用双星系统来观测。

双星系统概念图
在宇宙中,双星系统是普遍存在的。如果黑洞的附近是一颗恒星,那么恒星的物质就会被黑洞的引力吸引过来。由于转移的物质本身存在角动量,因此这些物质会在周围形成所谓的吸积盘。吸积盘的温度很高,其热辐射的峰值在光谱中的X射线波段。因此,探测X射线就成为了寻找黑洞的绝佳观测手段。
1972年,天文学家对天鹅座X-1致密天体的质量进行了精确测量,结果大约是太阳质量的15倍,这表明它就是一个黑洞。
![]()
天鹅座X-1的艺术想象图
不仅如此,天文学家们还通过捕捉黑洞辐射产生的引力波、吸积周围物质形成的喷流等多种方式验证了黑洞的存在。
直到2019年4月10日,由遍布全球的8个毫米/亚毫米波射电望远镜组成的“事件视界望远镜”(EHT)拍摄的黑洞影像首次发布,拍摄对象为M87星系中心超大质量黑洞,距离地球5500万光年,质量为太阳的65亿倍。这也是人类历史上第一张直观展示黑洞的照片。

人类历史上第一张黑洞照片
从此,人类才算是真正从理论到实际上验证了黑洞存在的真实性,也是人类通过物理法则预测这个世界真实存在的未知事物的一个典型例子。
说了这么多,我们言归正传,既然这个世界如此巧妙且可以预测,那这个世界是否有可能是虚拟的?从“曼德勃罗集”和黑洞的发现中,我们可以确定的一点是,构成这个世界的底层逻辑非常精密,精密得无法用言语形容。这就好比,你进入到了一款极其复杂的游戏中,刚进入主菜单,你发现这个游戏里已经设置好了一些基本参数,然后你又发现,只要将这些参数从当前值移动哪怕百分之几,这个游戏世界就会瞬间崩溃,原子无法形成、恒星无法聚变、更不会演化出此刻思考这个问题的你,宇宙要么瞬间坍缩,要么稀薄得一片死寂。

牛津哲学家尼克·博斯特罗姆在2003年提出了一个逻辑论证,其核心是一个三选一的难题:
1、人类文明发展到后人类时代(即能够运行高度真实祖先模拟)的几率非常趋近于0;
2、后人类文明有兴趣模拟其进化史的几率非常趋近于0;
3、与我们有相似经历的人类,其生存在模拟世界中的几率非常趋近于1。
其逻辑是:如果(1)和(2)都不成立,那么就会有海量的后人类文明运行海量的祖先模拟。模拟中的意识体数量将远超“基础现实”中的数量。因此,随机挑选一个意识体,它更大概率是生活在模拟中的那一个。
而现在,AI、脑机接口、人工意识、元宇宙等技术不断发展,我们正不停地在程序中尽可能真实地模拟我们自己,这几乎是人类文明想要向前就必须进行且无法扭转的历史趋势。
![]()
2016年,特斯拉及SpaceX公司的创始人马斯克在一次谈话节目中被问到:“一个足够先进的文明能够创造一个模拟世界,或许我们就生活在一个模拟世界里,你有考虑过这个问题吗?”马斯克引用了一个论据来问答:“四十年前,我们有了游戏《乓》,就两个长方形和一个点,当年的游戏就是这样。四十年后的现在,我们有了逼真的3D模拟,成百万的人同时玩游戏,并且每年都在变得越来越好,不久我们就会有VR、AR。如果你假设任意进步的速率,那么游戏将会变得和世界难以区分,甚至无法区分,就算是提升的速率下降到现在的千分之一,那我们想想一万年后的未来,这在进化史的尺度上来说不算什么。所以鉴于我们现在,在往拥有和现实难以区分的游戏的方向发展,这些游戏可以在任意的机顶盒或者电脑或者类似的设备上游玩,并且未来将会有数以十亿计的电脑或者机顶盒,那么这似乎说明我们生活在基础现实的可能性为几十亿分之一。告诉我这个论据有什么错误?我认为就是那几十亿分之一。”马斯克的回答让在场所有人都感到震惊。
![]()
当然,细想下来,这一切都是从人的角度出发来思考的,我们无法脱离目前人类认知的局限性,可能我们之所以惊叹宇宙如此“恰到好处”,仅仅是因为我们就生活在这样的宇宙规则之中,我们是这个宇宙的必然产物。在无数个可能存在的多重宇宙中,我们只是生活中其中一个合适的参数内。这就像鱼儿惊叹“水竟然如此适合呼吸”,却不知陆地的存在。
最后,分享一个荣获了2023年金知奖的作品吧。
视频来源:火柴人AlanBecker
视频标题:火柴人VS数学(Math)
(部分资料及图片来源于中科院物理所)
更多游戏资讯请关注:电玩帮游戏资讯专区
电玩帮图文攻略 www.vgover.com
