汽水和能量饮料等含糖饮料的设计目的是为了使其口感佳,因此其中添加了大量的甜味剂,以刺激大脑中的愉悦中枢。
然而,最初的愉悦感背后却隐藏着危险,含糖饮料通常营养价值很低。研究表明,经常饮用会增加患龋齿、肥胖、2 型糖尿病和心脏病等健康问题的风险。
![]()
2020 年 184 个国家/地区 20 岁以上成年人中因含糖饮料摄入而导致的 2 型糖尿病和心血管疾病的发病率(每百万成年人)。
根据美国塔夫茨大学的一项研究,由于人们饮用含糖饮料,全球每年新增约 120 万例心血管疾病和 220 万例 2 型糖尿病。
研究指出,虽然近年来一些发达国家含糖饮料的总体消费量有所下降,但汽水及其同类饮料在世界大部分地区,尤其是在发展中国家,仍然对公众健康构成重大威胁。
含糖饮料在低收入和中等收入国家大力推广和销售,这些社区不仅消费产品,而且往往也缺乏应对长期健康后果的能力。
![]()
2020 年全球及世界各区域主要社会人口因素导致的 2 型糖尿病和心血管疾病发病率(由含糖饮料摄入引起)。
研究表明,墨西哥近三分之一的新增糖尿病病例与含糖饮料有关,哥伦比亚近一半的新增糖尿病病例也与含糖饮料有关。
研究人员报告称,在南非,约 28% 的新增糖尿病病例和 15% 的新增心脏病病例可归因于含糖饮料。
该研究聚焦于含糖饮料,定义为任何添加了糖且每 8 盎司(约 240 毫升)至少含有 50 千卡热量的饮料。这包括市售或自制的软饮料、能量饮料、果汁饮料、柠檬水和鲜榨果汁。
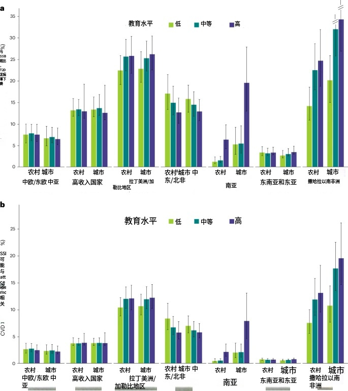
![]()
2020 年按世界区域、居住地和教育水平分层的成年人(20 岁以上)中,因含糖饮料摄入而导致的 2 型糖尿病和心血管疾病的比例发病率。
该定义不包括甜牛奶、100% 果蔬汁和无热量人工甜味饮料等饮品。
研究人员从全球膳食数据库中获取了饮料摄入量数据,其中包括 450 项关于含糖饮料消费量的调查,代表了来自 118 个国家的 290 万人。
为了揭示含糖饮料与疾病之间的联系,他们将这些数据和心血管代谢疾病发病率纳入比较风险评估中,并参考了之前关于含糖饮料生理效应的研究。
![]()
1990 年至 2020 年,世界各地区成年人(20 岁以上)因摄入含糖饮料而导致的 2 型糖尿病和心血管疾病发病率变化。
在全球范围内,含糖饮料被认为是每年新增 120 万例心脏病病例和 220 万例 2 型糖尿病病例的促成因素。
该研究还表明,含糖饮料每年导致约 8 万人死于 2 型糖尿病,25.8 万人死于心血管疾病。
研究人员指出,人体能够迅速消化含糖饮料,这会提高血糖水平,而其提供的营养价值充其量也只是微乎其微。
![]()
1990 年至 2020 年,30 个人口最多的国家中,因 20 岁以上成年人摄入含糖饮料而导致的 2 型糖尿病和心血管疾病每百万成年人发病率的变化。
他们指出,经常过量饮用这些饮料会导致体重增加和胰岛素抵抗,以及与 2 型糖尿病和心血管疾病相关的各种代谢问题。
研究人员表示,公众对这些风险的认识可能正在提高,但速度不够快,普及程度也不够高。
Lara-Castor, L., O’Hearn, M., Cudhea, F. et al. Burdens of type 2 diabetes and cardiovascular disease attributable to sugar-sweetened beverages in 184 countries. Nat Med 31, 552–564 (2025). https://doi.org/10.1038/s41591-024-03345-4 IF: 50.0 Q1
更多游戏资讯请关注:电玩帮游戏资讯专区
电玩帮图文攻略 www.vgover.com
