大家一起听着音乐看文章吧 !
今天 !
让我们一起来探索
「游戏开发小科普之头发」
当我这一期想要科普关于头发的秘密时候
我就想起了她 - 花木兰

开我东阁门 ,坐我西阁床。
脱我战时袍,著我旧时裳。
当窗理云鬓,对镜帖花黄。

木兰打开自己东边的阁门,坐在自己西边的床上。
脱下了戎装战袍,换上旧时的女儿衣裳。
对着窗子梳理鬓发,照着铜镜贴上花黄

这首诗词来自于 南北朝乐府的民歌《 木兰诗 》
讲述着花木兰女扮男装,替父从军,
在战场上建立功勋 ,回朝后不愿做官只求回家团聚的故事

木兰剪去了长发 , 男扮女装 , 替父从军
当她凯旋而归之后 , 又选择了在窗边梳理着自己的秀发
当我小时候 , 看到这个镜头的时候
热泪盈眶
让我们就通过花木兰的故事
一起进入小科普的世界吧 !
温馨提示:
此区域内容 非常轻松有趣
让我们先来看看现实中的头发吧 .


再看看在游戏世界中的头发吧


在游戏的世界里 ,头发有着多种的类型
第一种 , 绘画的风格
夏日狂想曲中的人物就是绘画出来的人物

还有女神异闻录5 中对话框中出现的人物

这样的展现一般在注重故事类游戏更常见
就像是一个可以移动的卡片人物(图片)

第二种 3D 人物模型
首先解释一下 3D人物模型
它可以理解为 “手办”

和上面类型一样 , 是会动的手办
比如在奇异人生 ,偏卡通风格,
更注重游戏内容
在她诞生的那一刻她的头发也跟着诞生了

我们来回到游戏世界中
也是同样的道理 ,在使用建模软件创造出一个女孩的时候
她的头发也已经被创造了
比如就是这样直接给你了一个完整的女孩子

这样的好处自然是更便捷
但是同样失去了更精致的体现
想象一下
美女手办的长发会
随着你拿着她摆动而飘散吗 ?

第三种 假发
假发 ,顾名思义
为了追求极致精美和多样的头发
那就需要所谓的 “假发”
这也是我后续要讨论的主要方向

我们会让人物诞生时候并没有头发
这样制作出来了各种假发 ,只需要戴在头上就好了
明白了这个想法后,我们来看看假发的秘密吧

头发的颜色
在底特律变人中的卡拉

金色与褐色混合感觉,头发的颜色在
现实中使用的是染色剂
游戏中则是一个调色盘

在头发上抹上不同颜色 ,就可以实现出了这样混搭的色调
比如天涯明月刀中的头发


如你所见 ,头发拥有多种的颜色混合
并且还具有渐变效果
注意从顶部的蓝色向粉色的渐变,其实还是调色盘的功劳

举个通俗易懂的例子
游戏里头发设置的颜色 , 就像是你认识的各种颜色的彩铅
但是在画纸上能用彩铅绘画出多么美的头发
那就需要你慢慢的绘制了

头发的美感不仅仅是因为颜色
头发还拥有着质感
就像是洗头发后 ,柔顺和明亮的感觉
“ 飘柔就是这样自信 ”
飘柔打钱啊喂 !

游戏中也是同理
因为头发也是一种材质 (Material )
会搭配着环境的不同而产生不同的效果
影响他最有趣的还是光照

在巫师 3 的叶奈法的头发 , 可以看到在蜡烛的灯光下,发质显得很具有油性感觉

那么在室外的希里 , 头发就更偏向于 干燥 / 顺带着一些小柔顺

那么使用好 调色盘 与 光照
就可以创造出头发很细腻的感觉
怎么样让头发变得更加丝滑柔顺 ?
现实中,我们不仅使用各种功能的洗发水
还会使用 护发素,洗衣粉等
洗衣粉什么鬼啊喂!

游戏中也是可以做到的
主要在感官上有两点 :
第一点:
头发可以通过材质与纹理的更细腻来完成
这就是游戏里的洗发膏与护发素
没有洗衣粉啊喂
更没有火锅底料啊喂 !!

生化危机4重制版 - 碍事梨脸模
第二点:
在前面刚刚提到的 “彩铅绘画” ,“环境光照”影响
红蓝Buff 正在持续中 …

轻微的细节就体现出来了
看看耳朵那里的头发
具有小撮头发,耷拉在耳朵上
这就是细节在各种光环的加持下显得更好
那么飘逸又是怎么样的呢 ?
其实也是上面所提到的因素

只是随着风中的摇曳 ,还涉及到了流体 ,力学
我觉得以后还有机会
在更有趣的讲解
比如从 游戏中的海洋延展到 风中飘逸的秀发
所以这里就埋下一个伏笔

等等 !
我们年轻人肯定喜欢柔顺飘逸的秀发
可是也存在有小孩,老人以及各种头发的质感
在游戏中真的也存在有各种的 “ 特技 ”
别忘了,我一直把他比喻为 “假发”
来看看死亡搁浅里,弩哥的头发
苍老感 ,与玛玛相比来说
多了凌乱 ,这种的苍老感在面部如胡须以及面容下加重了 。


所以还记得之前讨论的吗 ?
头发不仅仅是因为他本身的美
而是加了特技 和 其他的映衬

在这里 我还想提到一款游戏的CG
《黑悟空:神话》

黑悟空在渲染上将头发接近了 “完美”
在这里我们不讨论这款游戏其他
这次我们只讨论头发
在头发的细节上
他 — 做的真的“完美”

如果将上述的头发比喻为在白纸上作画
那他这个更像是 在清扫出土的文物

举个例子 ,大家都知道头发是一根根的
黑悟空在毛发上从极小的部分开始认真绘制
就像是一个草地
上面的小草一颗颗种上去的(略微夸张)

可能你会想 ?
国产的游戏积累本来就不够,怎么可能做到 ?
其实有两个方面 :
一是 毛发的技术在游戏行业早已成熟
二是 我一直在拿绘画做比喻
只是你10分钟画一张素描沾沾自喜
我可能花费数月画出一副而已

自己感想 :
其实中国的游戏行业发展怎么样
我也没有办法去改变
我能做的只有两点 :
1 我并不在乎像是悟空这样的游戏最终的生与死
我只是看到他们在这样建模上的细致 ,让我热泪盈眶
2 我永远热爱着游戏

那么到这里我肯定又要邀请出我的好朋友
《荒野大镖客2》
绿油油的草地 ,想要流泪的云朵

这款游戏我总是爱提到他
因为想亚瑟了 ! (抖个机灵)
这款游戏就是结合了我们前面所提到的所有的元素
这种感觉像极了 :
特技加满的状态

不仅仅是头发的绘制极其的精美
也因为他的其他元素都格外的美

很有趣吧

本期内容就到此结束
那么敬请期待下一期
「游戏开发小科普」
我们不见不散 !
悄咪咪 : 其实底下还有内容
上一期科普导航 :
上一期科普收入捐赠:

等一下 !
文章还没有结束 !
温馨提示:
此区域内容
认为你已经看过上面内容
来看看游戏引擎下的美吧
很多的时候 , 人物再创造出来的时候
在3D建模软件中 , 头发,身体,衣服也就全部一起制作出来了
直接使用与展示了
就像是我们提到的 “ 手办 ”

也可以通过用多种颜色的头发组合来实现多彩效果
注意看这里的刘海奥

也可以通过 材质(Material) 来设置出渐变的头发
Hair ( StatTrak™ ) | 渐变之色

也可以直接更换颜色 , 实现各种颜色的小姐姐

头发的模型有一个最基础的颜色(比如偏灰的)
然后直接更改材质的颜色就好了
就像是黑色的头发 可以染色为各种颜色

温馨提示:
此区域内容从引擎角度展示
头发也是一种材质 , 所以也受到了光照的影响
可以看到脸部的阴影

在线框中的样子
线框:方便查看模型的内部结构

仔细看 , 在单纯的模型下
打入光照,不是太阳的自然光
会发现头发其实是具有颜色层次的

依旧能看到他就像是衣服一样
只是紧贴着在一起
需要更复杂的手段去
尽可能的模拟真实的头发散落
注意看下图中的胸部与头发的间距

可以理解为用一股股头发拼凑在一起的
先看一下头发的图

再看一下头发的材质图

所以对于这个头发,你可以这样的理解

一块块的拼接在一起
温馨提示:
此区域内容从材质角度
来看一下头发的材质什么样子吧

可以进行一下对比
生成这样的材质需要通过颜色的搭配
来看一下生成的概念图

看一下这个材质球最原始的样子
就像是纯黑的物体

别睡着了啊 !
一定要坚持读下去 !
通过绘画板的绘制后 , 输出的效果

首先来看看颜色的设定吧

这里意思是:默认头发颜色为咖啡色
也可以切换为使用纹理取样,偏向于褐色
纹理取样参数2D

想要让头发更加真实 , 这里直接使用了纹理
为了增加更强烈的颗粒感
毕竟没有谁的头发是完全的光滑无比的

为了让头发不会被穿透,比如你可以透过头发看到背后的景色
这里加入了 不透明蒙版(Opacity Mask)
意味着要么完全可见,要么完全不可见
但是这样依旧可以让光照影响着不透明的部分.
在这里使用了:
一张纹理图 与 约为 0.5 的白色材质球做到组合

温馨提示:
此区域内容 从图形方面
影响的效果是什么呢?
头发是(至少我认为)是大多数玩家很容易观察以及受影响的地方
不要给我说胸部啊喂 !
所以这里也使用了
法线(Normal)
这样可以大幅度的添加纹理细节,这是一个常用的手段
因为他看起来像是添加了诸多的多边形
其实并没有
甚至渲染的数量更少
这是不使用法线的细节

这是使用了法线的细节

主要区别就是在整体的质感上

为了更明显的体验, 我们放在整体的头发上来看一下
如箭头所指向的地方,如同染色未影响的发根

为了体现出头发的更加柔软
这里使用了Edge Mask

这里使用的照相机矢量(Camera Vector)和顶点法线矢量越接近垂直
则可以通过这个获取参数值 , 这个比例是使用了Depth纹理
就是为了增加头发的柔软度
通俗点来讲就是
在你相机的离头发越近的地方, 也就越容易进行透明
所以这里就是根据位置进行计算来控制 蒙版
上面提到的 不透明蒙版 ( Opacity Mask )
开始犯困了 ?
这里讨论一个游戏中经常所涉及到的点
“ 深度偏移值 ”
具体是什么效果呢 ?
在引擎的角度下考虑是:
在头发的纹理上直接的使用有时候很容易产生头发像是网格的薄片
所以在同一个平面上就容易产生片状结构(一块一块的)
深度偏移则是增加发束的深度 , 营造出头发上的层次感

所以仔细看
23的深度偏移是不是具有更明显的差距
可以怎么理解呢 ?
想象一下
荒野大镖客2的雪地里走路,人物踩下的雪印

在这样雪印的渲染与地面的雪接近重合的时候,那么为了不让被覆盖(多边形的公共面)
那么就可以轻微的偏移这样能让效果产生一定的透视效果,避免重叠
术语就是: 纹理映射透视处理
温馨提示:
此区域内容 从数学方面
让我们站在数学角度来看一下吧
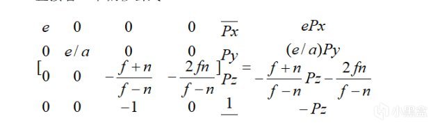
采用标准的OpenGl透视投影矩阵对观察空间一点P
(可以理解为一根头发)
进行偏移 P = (Px,Py,Pz,1)
首先Px Py Pz可以理解为

通俗的说: 想象一个三维空间
在这个投影区域内的位置内
这里解释一下各个参数意思就开始计算 !

中心轴为z轴 , e 为焦距
a 为宽高比, 近剪裁平面的距离为 n
远剪裁平面的距离为f

这是根据三维空间的矩阵列出来公式 , 针对右边的内容
我们在引入第四维的矩阵 , W
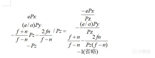
这里再转换为 投影透视变换后 , 也就是用w坐标去变换 , 这里w是-Pz

这里w坐标我们只关注Z轴,所以忽略 x 与 y 的
加入一个影响因子 1 + e
所以很容易得到:

简单的运算一下


这样偏移值就算出来了
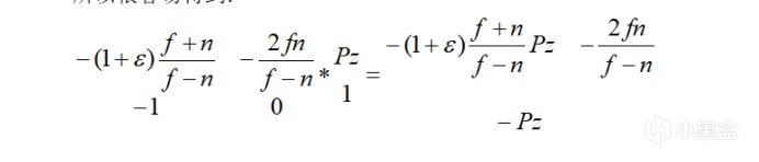
这个偏移值上 e 的影响因子该怎么最好呢 ?
其实就是在数学中运算的一个区间吧,也就是最大值最小值
通用的做法是根据相机空间偏移Q , 深度值Pz 再来一个偏移常数e


这是Z轴,上面也算过一次Z轴,两个值进行相等,抽离出这个偏移常数e

这里只是计算出来了偏移常数 ,接下来我们只需要
然后加入一个缓冲区
上一篇科普最后说到的内容
将他带入上面的偏移常数 , 就可以得到 相机的偏移值 Q
这里就不列举计算了 , 我在演草纸上自己算了
有点懒了 , 哈哈哈哈哈哈哈哈哈

今天的旅程结束了!
期待下一期吧 !
更多游戏资讯请关注:电玩帮游戏资讯专区
电玩帮图文攻略 www.vgover.com
