DeepSeek正式推出V4系列预览版,包括旗舰DeepSeek-V4-Pro(1.6T总参数,49B激活)和轻量DeepSeek-V4-Flash(284B总参数,13B激活),均支持100万token超长上下文。
采用混合注意力(CSA+HCA)、mHC连接和Muon优化器,在32T+高质量token上预训练,后训练通过GRPO实现领域专家独立培育与统一集成。
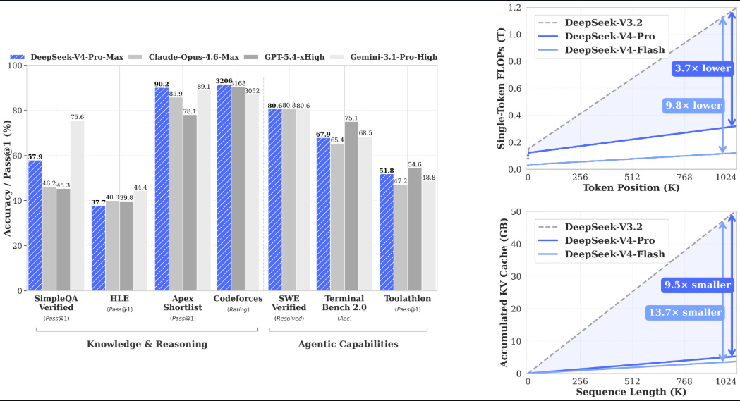
Pro-Max在编码、推理、Agent任务上达到开源SOTA,逼近顶级闭源模型;Flash-Max在更大思考预算下性能接近Pro。
目前,模型已在Hugging Face全量开源(MIT许可),API定价也较为亲民(Pro输入缓存命中仅$0.145/M)。
社区已开始大规模测试与部署。
![]()
![]()
![]()
![]()
![]()
更多游戏资讯请关注:电玩帮游戏资讯专区
电玩帮图文攻略 www.vgover.com
