Nature Portfolio于8月26日公布了一篇题为(《Video game play and well-being during the COVID-19 pandemic》)的论文。论文由波兰亚当·密茨凯维奇大学的Łukasz D. Kaczmarek等人撰写,分析了游戏游玩时间与心理健康之间的关系,尤其在公共卫生安全问题期间,探讨人们增加的游戏时间对心理健康和幸福感的影响。
![]()
随着2020年全球卫生安全问题频发,人们开始在家待着,许多人通过电子游戏度过“宅家”时光。游戏成为了舒缓压力、社交互动和消磨时间的一种重要方式。
虽然游戏可以作为一种休闲娱乐方式,但也有人担心长时间的游戏会对心理健康产生负面影响,尤其是过度沉迷可能导致焦虑、抑郁或社交隔离等问题。
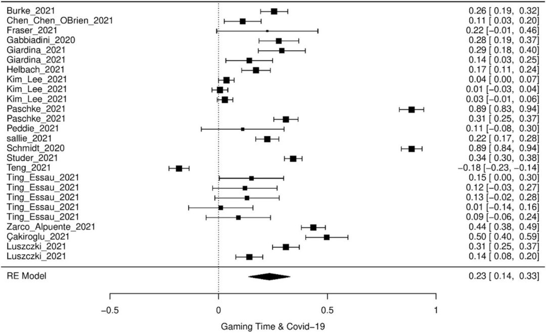
该团队通过整合和分析现有关于卫生安全期间游戏时间与心理健康关系的研究数据,进行了一项元分析。目标是了解大流行前后游戏时间的变化,以及这种变化是否对心理健康产生了积极或消极影响。
![]()
研究发现关键结论:
1. 游戏时间略有增加:研究表明,大流行期间人们的游戏游玩时间确实略有增加,但这种增加并未显著改善玩家的心理健康。
2. 没有明显改善:尽管先前的调查数据曾表明,大流行期间游戏时间显著增加,但本研究结果显示,实际情况并未呈现出这种预期的趋势。
3. 幸福感未受到显著影响:研究发现,游戏时间的长短与玩家的幸福感之间并没有显著的差异。
4. 质量比时长更重要:相较于游戏时间的长短,研究团队认为游戏的体验质量可能对玩家的幸福感和心理健康有更为深远的影响。游戏内容的种类、深度以及玩家的参与感、成就感等因素,可能比单纯的游戏时长更加重要。
![]()
积极体验的重要性:与其专注于游戏时间的增加,研究团队强调游戏体验的质量和内容才是决定其对心理健康影响的关键因素。例如,休闲类、社交互动性强的游戏可能对心理健康更有利,而竞争性强、压力大的游戏可能会对部分玩家产生负面影响。
健康休闲活动:研究团队认为,电子游戏作为业余爱好似乎不会对玩家的心理健康产生负面影响,且可以被逐渐接受为一种健康的休闲活动。这一点与很多人的担忧相反,即游戏并非一定会导致沉迷或心理健康问题。
![]()
许多先前的研究也表明,游戏的类型和内容对心理健康的影响要比游玩时间更为重要。例如:
社交互动游戏:多人在线游戏或合作类游戏通过增强社交互动和团队协作,通常对玩家的幸福感和心理健康产生积极作用。
沉浸式体验:角色扮演类游戏(RPG)和故事驱动型游戏因其深度和情感投入,可能让玩家感到更加满足和愉悦。
竞技类游戏:虽然竞技游戏可能带来成就感,但也伴随着压力和焦虑,尤其是对那些表现较差的玩家。
![]()
这项研究表明,游戏时长对心理健康并不产生显著影响,真正影响心理健康的是游戏的质量与个人的游戏体验。健康的游戏体验、适度的社交互动和积极的情感投入,是游戏在公共卫生安全期间带来幸福感和心理健康的关键。因此,游戏不仅可以作为一种消磨时间的方式,还可以成为促进心理健康和幸福感的重要工具。
更多游戏资讯请关注:电玩帮游戏资讯专区
电玩帮图文攻略 www.vgover.com
