今天刷公衆號的時候刷到了量子位發表的一個很搞笑的文章《貓貓運動方程,首次被物理學家破解!》,覺得很有意思。搜了一下報道的引用,這篇新聞最初發表在igfae上,題爲《physicist and his cat ‘reveal’ the equation of cat motion》,來和盒友們分享一下這篇論文和其中的一些分析(其實是想趁機發點貓貓圖)。
![]()
新聞中提到的論文發表在American Journal of Physics,文章作者是Anxo Biasi,起因是這位小哥有一天觀察起了自家貓貓,突發奇想:
能否將貓視爲一個在人產生的勢場中運動的質點,用物理方程來描述其行爲?
Anxo Biasi 從他與小貓Eme的日常經歷中提取出七種動力學模式,並使用了“貓的行爲就好像它們能感知到人類周圍的力”這一假設(即你可以對你的貓的行爲產生影響)。文章指出,作爲初步近似,可以通過將貓視爲遵循牛頓力學的點粒子來對下述七種動力學進行建模:
貓休息時通常會與人保持一定距離。
當貓趴在人身上休息時(如趴在腿上、肚子上、背上),極小的刺激就可能使它們離開這個位置(如一隻蒼蠅、一個難以察覺的聲音、鄰近星系原子的β-衰變)。產生離開所需的擾動強度取決於貓對其所依靠的人的依戀程度。
當貓被人撫摸時,它們會前後擺動。
當貓被人呼喚時,它們很少回應。
當貓決定接近呼喚它們的人時,它們往往會在途中分心,無法到達對方身邊。
晚上,貓咪會隨意在屋子裏跑酷。(這種情況被稱爲 “zoomies”)
當貓喜歡被人撫摸時,它們會發出呼嚕聲(發出柔和振動的聲音)。
文章提到,貓會感受到一種與外部勢能(由人的存在所引發)相關的“力”,其中 x(t)∈R 表示在時間 t 時貓相對於位於 x = 0 處的人的位置。因此,m>0 是貓的質量,ϵ>0 是考慮貓疲勞的摩擦係數。其結果就是下面這個方程:
![]()
方程中,g>0是耦合常數,δ在[0,1]區間,反映了貓對人的依戀。,當δ=0 時,點x=0(人的位置)是不穩定的,即貓對人沒有依戀。當δ>0時, 點x=0是穩定的。並且δ值越大,貓的依戀越強。當δ=1時,這表明貓對人有很強的依戀。如下圖所示,圖1是貓依附在人身上,圖b則是人對貓來說完全是陌生人(黑影)。這兩種情況貓都處於靜止狀態,處於三個平衡點。

通過這個方程,研究者可以解釋諸如"貓突然上竄下跳"等行爲特徵。
這篇論文還給出了一個對典型的貓應對撫摸時行爲的分析。文章指出,這種反應是一種穩定機制,通過貓與其人類同伴之間的互動得到反饋:
![]()
即,“當貓被人撫摸時,它們會以振盪運動來回移動。” 這種效應也在x=0附近的穩定區域重現(對於δ>0的情況)。
當貓平靜地靠近人(動能低)時,它們會圍繞人進行小幅度的振盪,並收斂到靜態,這歸功於方程中的摩擦項。
即使被陌生人撫摸(δ=0),貓也可能表現出這些穩定的振盪,但爲此必須添加一個新變量(呼嚕聲)。

而對於第五個行爲的分析也挺搞笑的,文章指出,當貓受到足夠強的刺激(衝動)接近人時,貓的質量也會起作用, 貓獲得的速度會隨着質量的增加而減小——體重較輕的貓(例如小貓)會表現出精力充沛的動作並對任何刺激做出反應,而體重較重的貓(例如老年貓或餵食過度的貓)則不會表現出同樣的熱情。

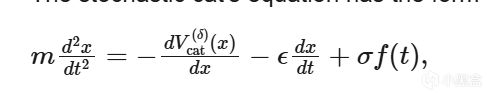
該研究還考慮了被稱爲“瘋狂隨機活動期”(FRAP 或“瘋狂跑酷”)的情況,即貓貓在夜間從一個地方全速移動到另一個地方。論文討論了在這種情況下,方程如何需要一個隨機成分來模擬這些時期,這個隨機成分作爲外部“驅動力”被構建到公式中。這爲模擬這些貓的“突然爆發”增加了一些必要的隨機性,在一定程度上可以根據每隻貓的特點進行調整。
![]()
其中σ爲常數,f (t) 爲外部隨機強迫。在給定時間內產生快速移動的概率取決於摩擦力ϵ和強迫σ的值,即該模型會根據每隻貓的特殊性進行調整,例如,小貓不斷表現出這些活動,對應於較低的摩擦力和較高的強迫力,而老年貓則很少表現出這種活動。
![]()
原文還分析了很多不同的行爲,諸如貓貓發出呼嚕聲或者振動可以加強貓與人之間的有效聯繫之類的,作者說建立貓運動方程這個idea最初源自於他在愚人節的一個想法:想找一種對學生更有吸引力的有趣方式來解釋物理。
而他本人的貓貓Eme給了他靈感,通過仔細觀察Eme與他互動時的行爲,Anxo發現這種行爲模式具有重複性和可預測性,於是開始自己嘗試用物理模型來描述這些行爲。這篇文章 “旨在用於經典力學入門課程,以展示看似複雜且不相關的行爲如何能用簡單定律來解釋”。作者希望通過展示 “一系列易於可視化的動力學,減少了對抽象的需求”,並給出了 “一個具有不同項的方程,涵蓋了經典力學的基本原理”。
他真的試圖在教我物理。
(文章內容來自:
美國物理學雜誌:11月1日:On cat–human interaction from the viewpoint of physics: An equation of motion
igfae網站:11月4日:IGFAE physicist and his cat ‘reveal’ the equation of cat motion
公衆號量子位:11月18日:貓貓運動方程,首次被物理學家破解! |《美國物理學雜誌》正經研究
(圖片來自:
美國物理學雜誌作者本人平時在網上收集的貓貓圖

更多遊戲資訊請關註:電玩幫遊戲資訊專區
電玩幫圖文攻略 www.vgover.com
