大家好,我是飘雷。
![]()
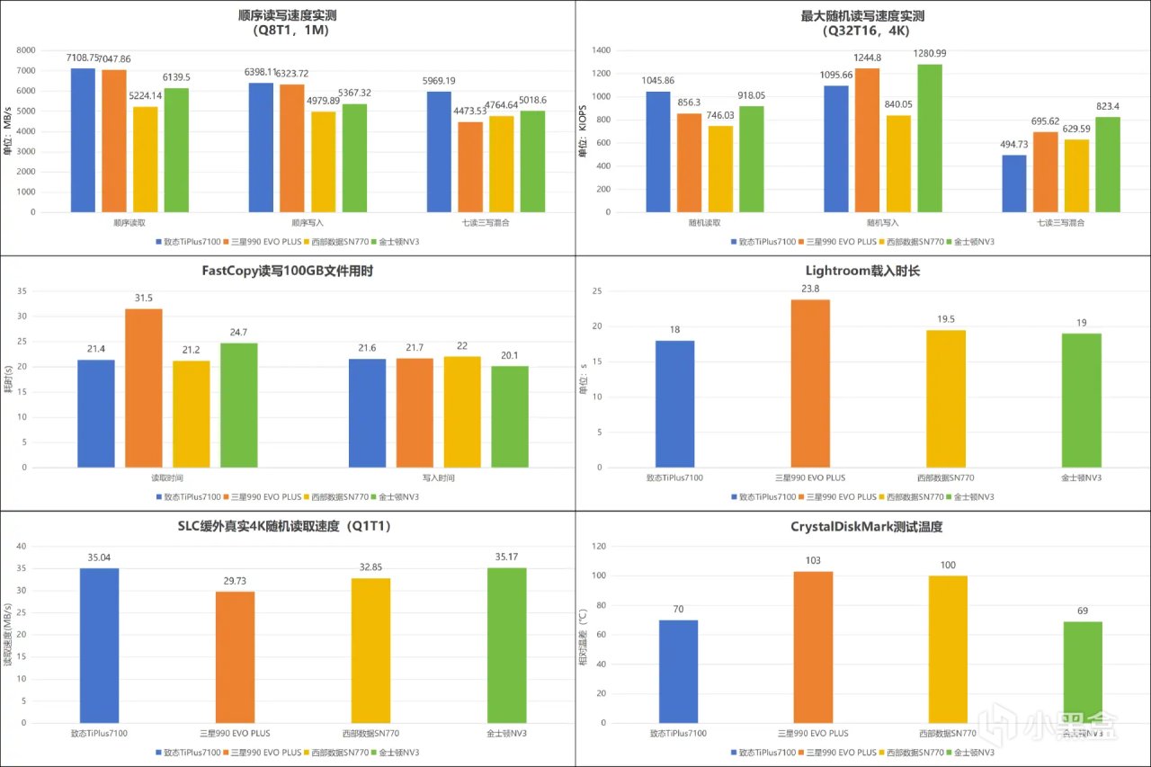
前几天闲来无事,搞来致态TiPlus7100、三星990 EVO Plus、西部数据SN770和金士顿NV3这四款1TB的SSD进行了横向对比测试,并且形成了一万来字的测试报告。
做测试的时候我自己就很纳闷,印象里去年测金士顿NV2的时候,用的还是QLC颗粒方案,性能表现是不太好的。
![]()
但是在今年测试1TB的金士顿NV3的过程中,发现这块盘有不少奇怪的地方:
1.FlashID显示其为群联E27主控+TLC颗粒方案,揭开贴纸后主控也确实是群联E27,但是商品详情页显示只给了3年保和320TBW,按理说TLC颗粒的写入寿命不至于这么低来着:
![]()
![]()
2.我手头这条NV3 1TB在大部分测试项目中的性能表现都挺好 ,甚至可以称得上出色:
![]()
唯独SLC缓外顺序写入速度只有不到300MB/s,特别像某些QLC SSD的特征:
![]()
本来我还在纳闷,就这个性能表现,1TB才卖399?阿金这是在做慈善呢?
又不由得猜测这是阿金在习惯性整活儿,新品刚上市时用TLC颗粒方案赚口碑,但是固件还是按QLC颗粒那一套进行调校,等着后期再偷偷换成QLC颗粒方案来着。
没想到横评发布后,有网友提醒我,原来金士顿NV3一上市就是颗粒混用的状态?!我直接一脸黑人问号- -!
![]()
根据网友的提示,我在TECHPOWERUP网站上果然查到了金士顿NV3的几种主控颗粒方案,如下图所示(关于网友提到的,NV3部分批次也使用了YMTC X3-6070 QLC颗粒这个说法,我没查到信息来源):
![]()
整理成表格的形式更方便理解:
![]()
可以看到,只有选择1TB的金士顿NV3时,才有概率买到群联E27主控+TLC颗粒,而500GB和2TB的版本,使用的全都是QLC颗粒……
这么一看我运气还怪好的来着,一抽就抽到了唯一的TLC方案……
就是心情有点难绷。
根据既有经验,大部分QLC SSD的性能表现是要比同代TLC SSD弱一些的,而我给这块金士顿NV3测了这么多项目,一下子就参考意义不大了……
所以抓紧时间在这里提醒大家,不要被网上的测评误导,真就以为金士顿NV3全线使用的都是TLC颗粒了。
那么最后一个问题来了,这款SSD还能买么?
当然能买,毕竟现在市面上QLC SSD的型号越来越多,相比TLC SSD来说,QLC SSD虽然性能弱点儿,但在价格方面也算有点儿优势,就看你选购的时候是更在意价格,还是更在意性能和寿命了。
![]()
另外金士顿毕作为老牌存储大厂,保修啥的还是有保障的,也不怕它瞎搞跑路。
我们只要明确知道自己买到的是什么产品,不要花高价买次品就好,其余的,就是各人根据自己的实际需求来做选择了。
更多游戏资讯请关注:电玩帮游戏资讯专区
电玩帮图文攻略 www.vgover.com
